Start
Experimente
Grundlagen
- Stromkreise
- - Ladung
- - Leistung
- - Widerstand
- - Reihenschalt.
- - Parallelschalt.
- - Vorwiderst.
- - Trafos
- - Kondensator
- - Spulen
Produkte
Neues
Impressum
|

2.9 Spulen und Induktivität
Ein weiteres wichtiges Bauelement der Elektronik
sind Spulen, die mit einem Eisenkern auch als Drosseln bezeichnet werden.
An einer Spule treten zwei wichtige physikalische Phänomene auf. Zum
einen führt ein Strom durch die Spule zu einem Magnetfeld im Inneren
der Spule. Zum anderen erzeugt jede Änderung des Magnetfels in der
Spule eine Spannung zwischen ihren Drahtenden (Induktion). Spulen selbst wickeln
Ändert man den Strom durch die Spule, dann tritt die sog. Selbstinduktion
auf. Da sich gleichzeitig das Magnetfeld ändert, wird auch eine Spannung
induziert. Für eine ideale Spule ohne Ohmschen Widerstand gilt also:
Die Spannung ist Null, solange der Strom konstant ist, und sie ist um so
größer, je schneller sich der Strom ändert. Die charakteristische
Größe der Spule ist die Induktivität L in Henry (H):

|

Messung der Induktionsspannung bei Stromänderungen
Im Wechselstromkreis ändert sich der Strom laufend,
so dass auch laufend eine Wechselspannung induziert wird. Der Strom eilt
der Spannung in der Phase nach.

Die Spule im Wechselstromkreis
|

Phasenverschiebung zwischen Spannung und Strom
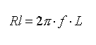
Man kann der Spule einen induktiven
Widerstand RL zuordnen:

Auch Spulen oder Drosseln lassen sich als Vorwiderstände einsetzen.
Dass der induktive Widerstand frequenzabhängig ist, nutzt man in Frequenzweichen
für Lautsprechersysteme aus. Der Tieftöner erhält eine Drossel
als Vorwiderstand, so dass hohe Frequenzen nur abgeschwächt übertragen
werden (Tiefpassfilter).
|

Die Drossel in der Frequenzweiche
Viele Bauteile, die Spulen enthalten, also z.B. Relais,
Transformatoren, Lautsprecher und Motoren, besitzen ebenfalls eine Induktivität,
was man in der Elektronik oft beachten muss. Typisch ist z.B. ein Spannungsstoß
beim Ausschalten eines Stroms. Da hierbei die Stromänderung sehr schnell
erfolgt, entsteht eine hohe Induktionsspannung bis zu einigen hundert Volt.
Sie kann zu spürbaren elektrischen Schlägen führen oder
Bauteile wie z.B. Transistoren zerstören, wenn man keine Vorsichtsmaßnahmen
ergreift.
Spannungsüberhöhung an einer Spule

|

Induktionsspannung beim Ausschalten eines Stroms
Schaltet man eine Spule und einen Kondensator zusammen,
dann entsteht ein Schwingkreis. Elektrische Energie kann wie in einem Pendel
zwischen Spule und Kondensator hin- und herschwingen, wobei eine definierte
Resonanzfrequenz f auftritt:

|

Die Spule im Schwingkreis
Schwingkreise werden z.B. in der Rundfunktechnik
eingesetzt, um Frequenzen verschiedener Sender zu trennen.
Spulen lassen sich als Luftspulen auf einen isolierenden Gegenstand
wickeln. Durch einen Eisenkern oder Ferritkern erhöht man die Induktivität.
Ferritkerne gibt es als Schraubkerne, als Stäbe oder als geschlossene
Kerne für innenliegende Spulen. Üblich sind auch Transformatorkerne
und Ringkerne. Außer der Induktivität muss der maximale Strom
und der geeignete Frequenzbereich beachtet werden. Oft wird auch der Ohmsche
Widerstand der Spule mit angegeben.
Siehe auch: Festinduktivitäten YouTube-Kurzvortrag: Die Spule YouTube-Kurzvortrag: Der Schwingkreis |


|